濟南市鴻慷機電設備有限公司位于交通便利的泉城濟南,是全球生產滾動軸承和直線運動產品的領導企業---德國舍弗勒集團在山東的授權代理商。公司專營舍弗勒集團旗下兩大品牌INA軸承和FAG軸承,是一家順應經濟發展需要而誕生的專業化新型高端軸承公司。多年來一直從事軸承的銷售和售后技術支持,在機械行業技術方面有著非常豐富的經驗,今天濟南鴻慷機電進口軸承專家為大家介紹一下直線導軌的額定負荷與壽命。

直線導軌的應用,必須對選用的型號與使用條件來驗算其負荷容量及壽命,根據這些結果來判斷選擇的直線導軌型號是否符合需求。
負荷容量的驗算是利用基本額定靜負荷(C0),求出靜安全系數,即確定其靜的負荷限度;而壽命的驗算則是利用基本額定動負荷(C),來計算額定壽命。
直線導軌的壽命是指在滾動體或滾動面上由于循環應力的作用,到出現因材料的滾動疲勞所發生的金屬表面剝落時所運行的總距離。
1,基本額定靜負荷C0
直線導軌在靜止或低速運行中承受過大或沖擊的負荷時,在滾動體與滾動面之間會產生局部的永久變形,這個永久變形量如果超過某個限度時,就會影響直線導軌運動的順暢性。
所謂的基本額定靜負荷(C0),是指在產生最大應力的接觸面處,使滾動體與滾動面間的永久變形量之總和達到滾動體直徑的0.0001倍時,方向和大小一定的靜止負荷。所以基本額定靜負荷即為容許靜負荷的限度。
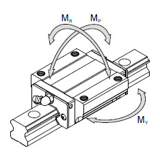
2,容許靜力矩 M0

| 使用機械 | 負荷條件 | fs的下限 |
|---|---|---|
| 一般產業機器 | 一般負荷狀況 | 1.0 - 1.3 |
| 有振動、沖擊時 | 2.0 - 3.0 | |
| 機床 | 一般負荷狀況 | 1.0 - 1.5 |
| 有振動、沖擊時 | 2.5 - 7.0 |
4,基本額定動負荷 C
即使同一批制造出來的產品,在相同的條件下運動,直線導軌的壽命也會有些許差異。因此,為了確定直線導軌的壽命,一般使用以下定義的額定壽命。所謂的額定壽命(L),是指一批相同規格的直線導軌在同樣的條件下運動時,其中的90%不產生表面疲勞剝落的現象所能行走的總運行距離。當直線導軌承受負荷并運動時,為計算其壽命要使用基本額定動負荷。
所謂的基本額定動負荷(C ),是指一批相同規格的直線導軌在同樣的條件下運動時,當其滾動體為鋼珠時,其額定壽命為50km,而其滾動體為滾柱時,額定壽命為100km,方向和大小都不變的負荷。
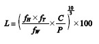
5,壽命計算
直線導軌的額定壽命(L)會因實際所承受的負荷而不同,可依照選用規格的基本額定動負荷(C)和工作負荷(P)來推算出使用壽命。直線導軌的使用壽命會隨著運動狀態、滾動面的硬度與環境溫度而變化,依其循環的滾動體類型,選用下式來計算其壽命。
鋼珠(球)




| 運轉條件 | 使用速度 | fW |
|---|---|---|
| 平滑無沖擊 | V 小于等于 15 m/min | 1.0 - 1.2 |
| 普通沖擊力及振動 | 15 小于 V 小于等于 60m/min | 1.2 - 1.5 |
| 中等沖擊力及振動 | 60 小于 V 小于等于 120m/min | 1.5 - 2.0 |
| 強烈沖擊力及振動 | V 大于等于 120m/min | 2.0 - 3.5 |
6,壽命時間的計算Lh
在直線導軌使用的行程長度與往復次數一定時,可用前述公式所求得的額定壽命(L),換算出壽命時間(Lh)。

如果您對山東進口軸承、FAG軸承、INA軸承感興趣或者有疑問的話,請點擊聯系我們網頁右側的在線客服,或致電:400-086-9890,山東進口軸承供應商——您全程貼心的采購顧問。
——責任編輯:濟南鴻慷機電設備公司01銷售顧問
版權所有m.fjblh.com(濟南鴻慷)轉載請注明出處
